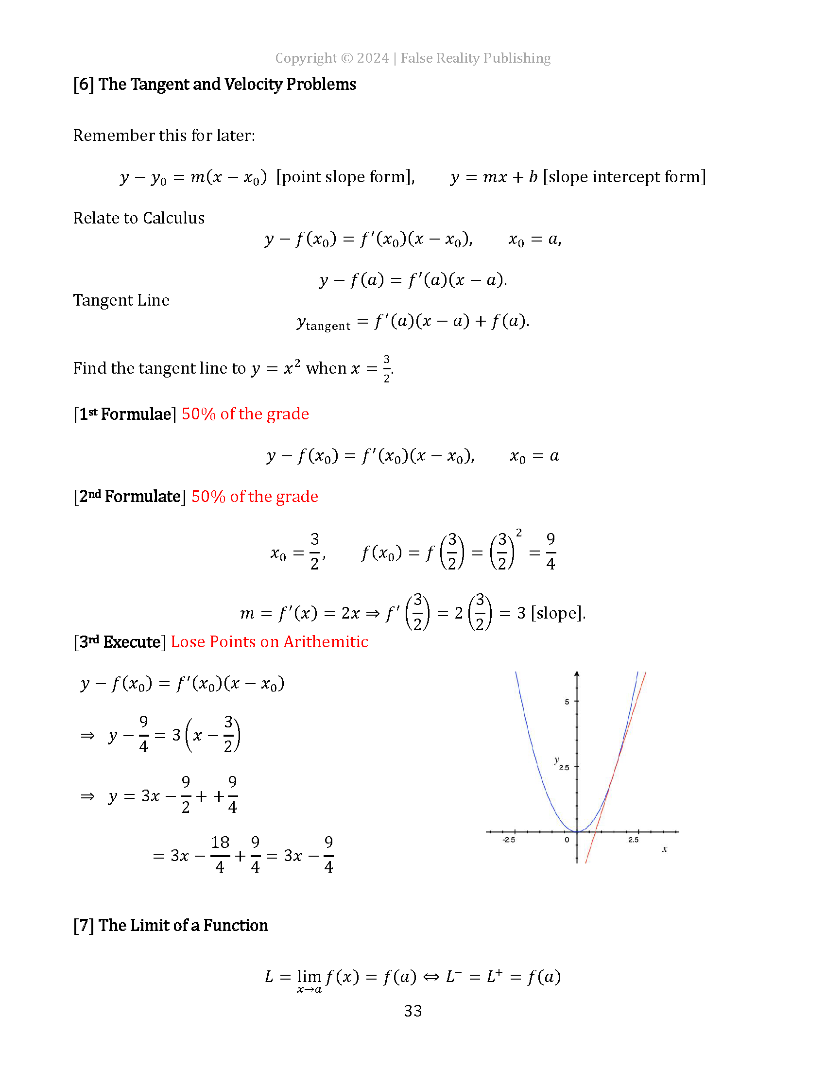
Sample from The Ultimate Crash Course Series Get the full bundle with structured lessons and over 1,000 lessons and podcasts via Payhip and theSTEMmajor.com. The Tangent and Velocity Problems Point Slope Form Reminder Calculus Tangent Line Formula Find the Tangent Line to Step 1: Identify the Function Step 2: Compute […]
Daily Archives: March 22, 2026
Sample from The Ultimate Crash Course Series Get the full bundle with structured lessons and over 1,000 lessons and podcasts via Payhip and theSTEMmajor.com. Radical Equations Quadratic in Form Find the real solutions of Step 1: Recognize the Quadratic Form This radical equation becomes much easier if we treat the […]
Sample from The Ultimate Crash Course Series Get the full bundle with structured lessons and over 1,000 lessons and podcasts via Payhip and theSTEMmajor.com. Solve by the Square Root Method Recall the Square Root Rule Take the Square Root of Both Sides Split Into Two Equations Solve Each Equation Final […]
Sample from The Ultimate Crash Course Series Get the full bundle with structured lessons and over 1,000 lessons and podcasts via Payhip and theSTEMmajor.com. Factor 5x² + x − 6 Start with Possible Factoring Form Check Possible Combinations Use Product of Constants Instead of testing every possibility, examine the constant […]
Sample from The Ultimate Crash Course Series Get the full bundle with structured lessons and over 1,000 lessons and podcasts via Payhip and theSTEMmajor.com. Factor 5x² + x − 8 General Quadratic Form Quadratic Formula Check if Factorable Since the discriminant is positive but not a perfect square, the polynomial […]
Sample from The Ultimate Crash Course Series Get the full bundle with structured lessons and over 1,000 lessons and podcasts via Payhip and theSTEMmajor.com. Factoring Roots Before Definite Integration Solve the Factored Equation Calculus Note In calculus questions, factoring and solving algebraic equations often represents only a small portion of […]
Sample from The Ultimate Crash Course Series This lesson is a sample from the Ultimate Crash Course bundle. Get the full collection at Payhip and access over 1,000 lessons and podcasts through theSTEMmajor.com. Prove If and , Then This number theory lesson shows how to prove a divisibility statement using […]
Sample from The Ultimate Crash Course Series Get the full bundle with structured lessons and over 1,000 lessons and podcasts via Payhip and theSTEMmajor.com. Solve Each Equation by Factoring (Rational Equation) Step 1: Eliminate the Fractions Find the common denominator and multiply both sides of the equation. Step 2: Multiply […]
Sample from The Ultimate Crash Course Series This lesson is a sample from the Ultimate Crash Course bundle. Get the full collection at Payhip and access over 1,000 lessons and podcasts through theSTEMmajor.com. Number Set Notations and Universal Quantifiers This reference sheet introduces standard number set notation and universal quantifiers […]
Sample from The Ultimate Crash Course Series This post is a sample lesson from The Ultimate Crash Course Series. Students who want the full bundle can get access to over 1,000 lessons, podcasts, and study resources through theSTEMmajor.com. Calculating Limits Using Limit Laws and Rationalization Learn how to evaluate a […]